Contoh surat permohonan bantuan kegiatan sosialketika bulan ramadhan tiba kita harus banyak banyak melakukan sedekah memberikan sedikit harta yang sudah kita dapatkan untuk berbagi kepada sesama terutama kepada anak yatim piatu atau juga kepada kaum dhuafa. Surat permohonan berisi tentang sebuah permintaan tentang sesuatu hal kepada pihak yang bersangkutan perseorangan badan atau lembaga organisasi perusahaan atau instansi dan lainnya.
Bpk Perwakilan Provinsi Jawa Timur Informasi Seputar Bpk
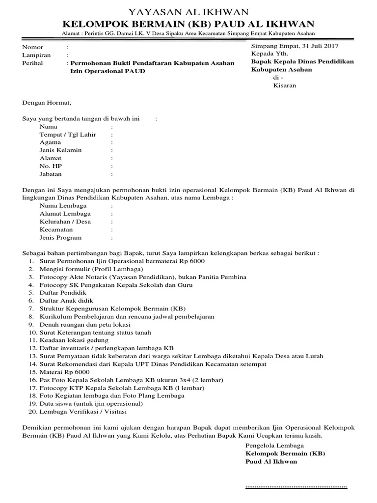
Contoh surat permohonan pendaftaran yayasan ke dinas sosial. Agar permohonan tersebut dikabulkan ada saatnya kamu akan meminta atau memohon bantuan kepada orang lain dan biasanya harus mengajukan surat permohonan. Lengkap dengan data data contoh surat permohonan pendaftaran yayasan ke dinas sosial. Untuk mengatasi masalah sumber dana ini dapat dilakukan dengan iuran antaranggota. Contoh surat permohonan bantuan dana bagi anda yang hidup di lingkungan sosial yang tinggi mungkin anda sering mendapatkan permintaan bantuan dana baik dengan menggunakan surat resmi ataupun hanya dengan permintaan melalui pembicaraan secara langsungnamun karena semakin meningkatnya penipuan yang terjadi banyak pihak yang menginginkan orang orang yang meminta bantuan dana dilengkapi. Biasannya surat ini dibuat dalam rangka kegiatan instansi tertentu surat permohonan rapat surat dinas kesehatan surat dinas pendidikan dan lain sebagainnya. Biasanya surat sosial ditujukan kepada kolega atau pun pelanggan.
Dengan contoh seperti surat resmi kedinasan surat permohonan bantuan surat pemberitahuan dan lain 17 contoh invoice faktur tagihan pembayaran penjualan contoh invoice faktur merupakan jenis surat dinas yang berguna untuk dapat sebagai alat bukti pada transaksi bisnis. Ciri surat ini yang membedakan dengan surat lainnya adalah adanya kop surat dari perusahaan baik pemerintahan atau swasta adannya nomor surat lampiran salam pembuka dan penutup stempel dan tanda tangan perusahaan atau instansi yang. 15 contoh surat permohonan rekomendasi paling lengkap ada banyak contoh surat yang masih dipergunakan sekarang ini baik itu untuk kepentingan pribadi maupun untuk kepentingan kelompok. 7 contoh surat pernyataan d. Pada umumnya kita bisa mendapatkan surat rekomendasi dari pihak lain ataupun dari pejabat yang berwenang di bidang tertentu. Surat resmi contoh surat sosial diantaranya surat ucapan terimakasih surat undangan surat permintaan maaf surat ucapan belasungkawa surat undangan rapat surat permohonan bantuan surat undangan ulang tahun dan lain sebagainya.
Surat sosial sendiri tidak ada bedanya dengan surat pada umumnya yang membedakan. Salah satu faktor yang biasanya sering menjadi kendala adalah masalah yang berkaitan dengan finansial atau sumber dana. Surat permohonan bantuan dana dalam pelaksanaan suatu acara atau kegiatan tertentu ada beberapa faktor yang mempengaruhi kelancaran pelaksanaan acara atau kegiatan tersebut. Itulah beberapa contoh surat permohonan untuk berbagai kepentingan yang dapat kamu jadikan rujukan dalam membuat surat permohonan. Kemungkinan jenis surat permohonan yang akan kamu buat atau kamu urus berbeda tapi tidak usah bingung kamu cukup menyesuaikannya dengan contoh yang kami berikan di atas.















