Silahkan download file contoh surat pernyataan pengalihan hak atas sebidang tanah tersebut. 15 contoh surat kuasa tanah untuk berbagai keperluan setiap harta benda tentu memiliki harga tersendiri yang harus kita jaga.
Contoh Surat Pernyataan Penyerahan Hak Asuh Anak Contoh
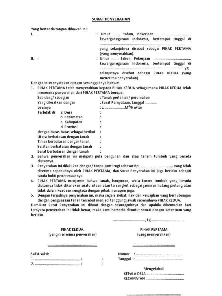
Contoh surat pengalihan tanah. Contoh surat pernyataan jual beli tanah. Jika ada kendala dalam proses download. 5922 2011 yang bertanda tangan di. Surat pernyataan perjanjian pengalihan tanah garapan. Jika anda tidak memiliki kesempatan untuk merawat dan menjaga tanah tersebut maka anda bisa memberikan kuasa kepada orang lain. Surat kuasa formal sendiri surat kuasa yg diberikan oleh dinas atau perusahaan kepada dinas atau perusahaan lainnya.
Contoh format surat kuasa tanah. Jika kita memiliki harta benda maka sangat penting bagi kita untuk menjaga dan merawat harta tersebut seperti harta tanah contohnya. Contoh format surat pengalihan penguasaan atas sebidang tanah. Surat pengalihan penguasaan atas sebidang tanah nomor. Surat kuasa yang bertanda tangan di bawah ini saya selaku pihak pertama. Contoh surat pernyataan tanah.
Surat ini juga menjadi bukti bahwa kedua belah pihak yaitu penjual dan pembeli tanah sepakat untuk melakukan transaksi secara sah. Dalam transaksi jual beli tanah diperlukan surat pernyataan yang berfungsi sebagai bukti tertulis tentang jual beli yang dilakukan. Dan surat kuasa sendiri ada dua jenis yaitu surat kuasa formal dan surat kuasa non formal. Dan selaku pihak yang menguasai sebidang tanah yang terletak di kel. 67 tahun alamat. Mandati ii kecamatan wangi wangi selatan kabupaten wakatobi seluas 32175 m 2 seribu tiga ratus dua puluh meter persegi dengan ukuran 44432 435 m x 3552 20 m sesuai gambar terlampir dengan batas batas sebagai berikut.
Contoh surat kuasa tanah surat kuasa merupakan surat yg berisikan pelimpahan wewenang dari seseorang kelompok atau perusahaan kepada seseorang kelompok atau perusahaan lain. Hibah tanah tanah wakaf tanah warisan dan lain lain tanah merupakan aset yang sangat berharga yang dimiliki oleh seseorang bukan hanya menyangkut nilai pasar yang melekat terhadapnya namun manfaat manfaat serta hal hal plus yang terkandung di dalamnya yang mungkin bernilai lebih dari nilai tahah itu sendiri. Pengalihan ganti rugi untuk pengalihan segala hak dan kepentingan atas sebidang tanah beserta benda benda yang berada diatasnya sebagaimana tersebut pada butir a telah disepakati dan ditetapkan oleh kedua belah pihak baik pihak pertama maupun pihak kedua sebesar rp dengan jumlah uang tersebut telah diterima oleh pihak pertama dan surat pernyataan ini berlaku pula sebagai tanda bukti.
















