Contoh surat permohonan ganti rugi ganti rugi dapat dilakukan dengan membayar uang senilai besarnya kerusakan yang telah saya perbaiki di bengkel dengan melampirkan bukti pembayaran. Surat ini juga menjadi bukti bahwa kedua belah pihak yaitu penjual dan pembeli tanah sepakat untuk melakukan transaksi secara sah.
Contoh Surat Pernyataan Ganti Rugi Contoh Alkali Cuitan Dokter
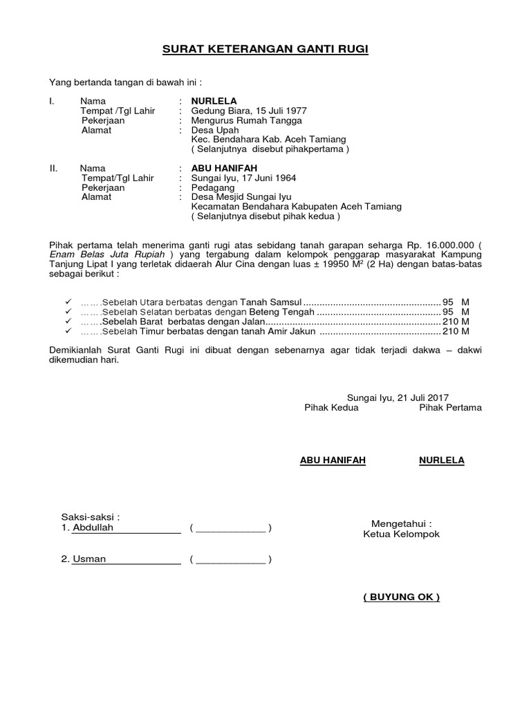
Contoh surat ganti rugi tanah garapan. Dalam transaksi jual beli tanah diperlukan surat pernyataan yang berfungsi sebagai bukti tertulis tentang jual beli yang dilakukan. Untuk itu langsung saja baca dibawah ini contoh surat ganti rugi tanah tersebut. Pada artikel sebelumnya kita telah membahas mengenai surat perjanjian jual beli rumah sederhanapada artikel contoh surat perjanjian jual beli tanah terbaru kali ini kita akan membahas mengenai topik yang hampir sama. Berikut ini contoh surat keterangan ganti rugi lahan garapan yang berada di area kawasan register hutan dari badan pertanahan. Contoh surat pernyataan jual beli tanah. Contoh surat pernyataan bersedia membayar ganti rugi sewa rumah demikianlah contoh surat tuntutan ganti.
Contoh surat ganti rugi tanah admin sampaikan contoh surat ganti rugi tanah untuk anda yang ingin membuat contoh surat ganti rugi tanah karena kami menyampaikan format contoh surat ganti rugi tanah lengkap dan kami berikan dibawah supaya anda bisa men contoh surat ganti rugi tanah ini. Surat ini sebenarnya tidak wajib untuk digunakan jika orang yang bertanggung jawab tersebut langsung membayar ganti rugi yang dia sebabkan. Jl raya kalitidu ngasem no 97 kalitidu rt 03 rw 01 kalitidu kab bojonegoro. Tanah garapan ini bisa juga dioperalihkan kepada pihak lain dimana si penggarap pertama akan menerima ganti rugi terhadap tanah garapan yang dialihkan tersebut. Dengan demikian jenis tanah ini bisa dikatakan sebagai tanah negara yang diambil manfaatnya oleh si penggarap berdasarkan surat garap. Operalih ini harus dilakukan dengan akta notaris.
Ternyata terdapat garapan masyarakat dan masyarakat meminta agar ganti rugi dibayarkan kepada mereka masyarakat penggarap. Seperti kita ketahui bahwa lahan garapan yang berada di area register hutan lindung hanya boleh digarap dan tidak boleh dijual belikan maka dari itu apabila tanah kebun bermaksud di pindah tangan diperbolehkan dalam bentuk ganti rugi lahan atas tanaman yang telah di. Pada saat dilakukan inventarisasi dan indentifikasi pada lahan yang akan dibebaskan yaitu lahan hgu pt. Surat perjanjian ganti rugi adalah surat yang digunakan ketika anda mengalami kerugian dikarenakan pihak lain dan pihak tersebut mau membayar ganti rugi atas apa yang anda alami. Contoh surat tuntutan bayaran ganti rugi yang baik sebagai bahan referensi dalam pembuatan surat tuntutan dengan secara profesional. Surat permohonan ganti rugi.
Pelaksanaan pengadaan tanah dilakukan oleh kantor bpn kabupaten. Yang membedakan hanya objeknya yaitu tanah.













